近日,yl9193永利张星教授在图书情报与信息科学领域顶级期刊《Journal of the Association for Information Science & Technology》发表论文《Can artificial intelligence debunk health misinformation more effectively than humans? A three-dimensional persuasion analysis》(人工智能比人类能更有效地辟谣健康失真信息吗?一项三维说服分析)。论文第一作者为yl9193永利集团硕士生纪欣雨,通讯作者为yl9193永利张星教授。

在数字化信息环境中,健康失真信息在社交媒体和在线平台中的传播已成为全球公共健康治理的重要挑战。虽然人工智能(AI)在生成辟谣文本方面展现出高效和低成本的潜力,但其生成的文本在说服力上是否优于人类专家,目前尚不明确。本研究旨在通过亚里士多德的修辞学三要素(情感诉求 Pathos、信誉诉求 Ethos、逻辑诉求 Logos),系统比较AI生成与人类生成的健康辟谣文本的说服效果及其机制。

图1 研究数据处理设计
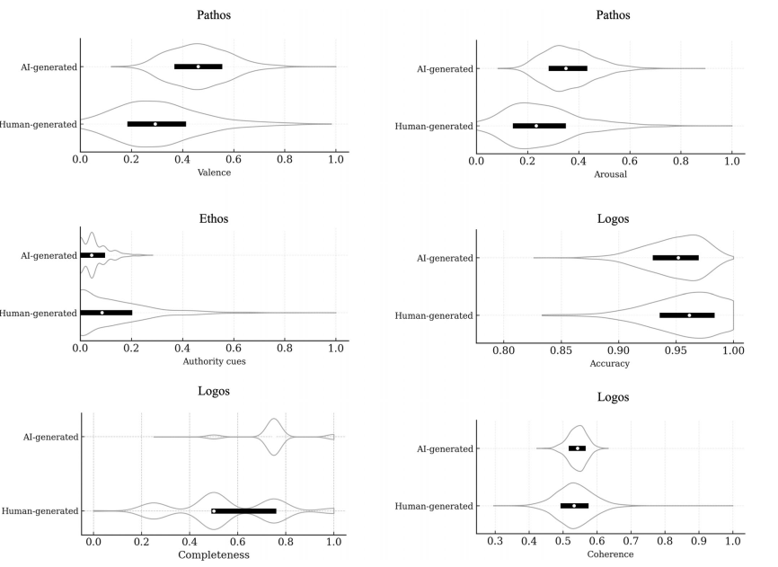
论文结合在线实验、计算文本分析及因子实验,从感知效果、语言特征及心理机制三个层面进行了全面考察。结论显示,尽管AI生成文本在体现权威性的“信誉诉求”上弱于人类,但其在“情感诉求”(情绪效价和唤醒度)和“逻辑诉求”(信息完整性与连贯性更高)上显著高于人类;这种优势使得AI文本在整体感知说服力上超过了人类专家生成的文本。情感共鸣、来源可信度和论证质量均显著中介了文本来源对说服力的影响。研究还揭示了信息来源披露(即给文本打上“AI撰写”或“人类专家撰写”的标签)带来的“算法厌恶”效应并非一成不变。当文本被明确标记为“AI撰写”时,用户对其情感共鸣和信誉度的评价会显著降低;然而,在论点质量(逻辑)的评估上,AI标签并未削弱AI内容的得分。这表明,受众在逻辑论据的评判上能够克服算法厌恶带来的偏见,保持更加客观的评价。总的来说,这项研究表明,尽管存在信誉短板和标签偏见,但当前的先进AI模型在健康辟谣任务中已经展现出超越人类专家的潜力,特别是在情感感染力和逻辑结构的完整性方面。

图2说服性特征分布比较
本研究从理论上拓展了信息科学与健康传播领域关于 AI 内容生成与信息说服机制 的研究视角,揭示了人工智能在健康失真信息治理中的潜在价值。同时,研究结果为公共健康机构与在线平台在设计 AI辅助辟谣系统与信息干预策略方面提供了重要参考,对提升健康信息传播质量具有积极意义。
《Journal of the Association for Information Science and Technology》(JASIST)创刊于1950年,是国际信息科学与技术协会(ASIS&T)的官方会刊,也是图书情报、信息管理及信息系统领域的顶级权威学术期刊之一。该期刊为 SSCI收录期刊,英国商学院协会(Association of Business School, ABS)认定的三星级期刊,是FMS管理科学高质量期刊推荐列表A类期刊。
文章链接:https://doi.org/10.1002/asi.70049